



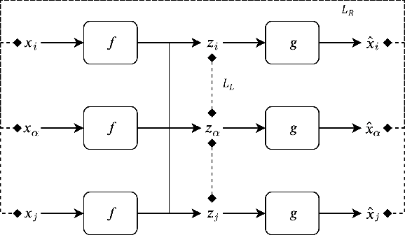
One of the fascinating properties of deep learning is the ability of the network to reveal the underlying factors characterizing elements in datasets of different types. Autoencoders represent an effective approach for computing these factors. Autoencoders have been studied in the context of their ability to interpolate between data points by decoding mixed latent vectors. However, this interpolation often incorporates disrupting artifacts or produces unrealistic images during reconstruction. We argue that these incongruities are due to the manifold structure of the latent space where interpolated latent vectors deviate from the data manifold. In this paper, we propose a regularization technique that shapes the latent space following the manifold assumption while enforcing the manifold to be smooth and convex. This regularization enables faithful interpolation between data points and can be used as a general regularization as well for avoiding overfitting and constraining the model complexity.