



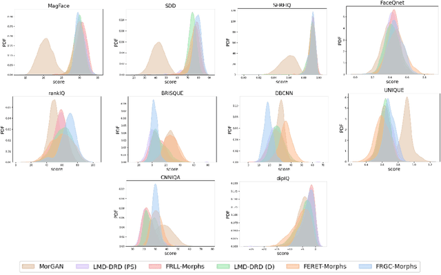
Morphing attacks are a form of presentation attacks that gathered increasing attention in recent years. A morphed image can be successfully verified to multiple identities. This operation, therefore, poses serious security issues related to the ability of a travel or identity document to be verified to belong to multiple persons. Previous works touched on the issue of the quality of morphing attack images, however, with the main goal of quantitatively proofing the realistic appearance of the produced morphing attacks. We theorize that the morphing processes might have an effect on both, the perceptual image quality and the image utility in face recognition (FR) when compared to bona fide samples. Towards investigating this theory, this work provides an extensive analysis of the effect of morphing on face image quality, including both general image quality measures and face image utility measures. This analysis is not limited to a single morphing technique, but rather looks at six different morphing techniques and five different data sources using ten different quality measures. This analysis reveals consistent separability between the quality scores of morphing attack and bona fide samples measured by certain quality measures. Our study goes further to build on this effect and investigate the possibility of performing unsupervised morphing attack detection (MAD) based on quality scores. Our study looks intointra and inter-dataset detectability to evaluate the generalizability of such a detection concept on different morphing techniques and bona fide sources. Our final results point out that a set of quality measures, such as MagFace and CNNNIQA, can be used to perform unsupervised and generalized MAD with a correct classification accuracy of over 70%.