



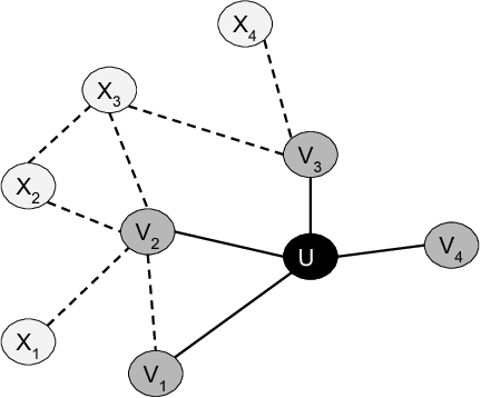
Real-world networks such as social and communication networks are too large to be observed entirely. Such networks are often partially observed such that network size, network topology, and nodes of the original network are unknown. In this paper we formalize the Adaptive Graph Exploring problem. We assume that we are given an incomplete snapshot of a large network and additional nodes can be discovered by querying nodes in the currently observed network. The goal of this problem is to maximize the number of observed nodes within a given query budget. Querying which set of nodes maximizes the size of the observed network? We formulate this problem as an exploration-exploitation problem and propose a novel nonparametric multi-arm bandit (MAB) algorithm for identifying which nodes to be queried. Our contributions include: (1) $i$KNN-UCB, a novel nonparametric MAB algorithm, applies $k$-nearest neighbor UCB to the setting when the arms are presented in a vector space, (2) provide theoretical guarantee that $i$KNN-UCB algorithm has sublinear regret, and (3) applying $i$KNN-UCB algorithm on synthetic networks and real-world networks from different domains, we show that our method discovers up to 40% more nodes compared to existing baselines.