



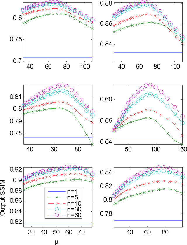
An exact histogram specification (EHS) method modifies its input image to have a specified histogram. Applications of EHS include image (contrast) enhancement (e.g., by histogram equalization) and histogram watermarking. Performing EHS on an image, however, reduces its visual quality. Starting from the output of a generic EHS method, we maximize the structural similarity index (SSIM) between the original image (before EHS) and the result of EHS iteratively. Essential in this process is the computationally simple and accurate formula we derive for SSIM gradient. As it is based on gradient ascent, the proposed EHS always converges. Experimental results confirm that while obtaining the histogram exactly as specified, the proposed method invariably outperforms the existing methods in terms of visual quality of the result. The computational complexity of the proposed method is shown to be of the same order as that of the existing methods. Index terms: histogram modification, histogram equalization, optimization for perceptual visual quality, structural similarity gradient ascent, histogram watermarking, contrast enhancement.