



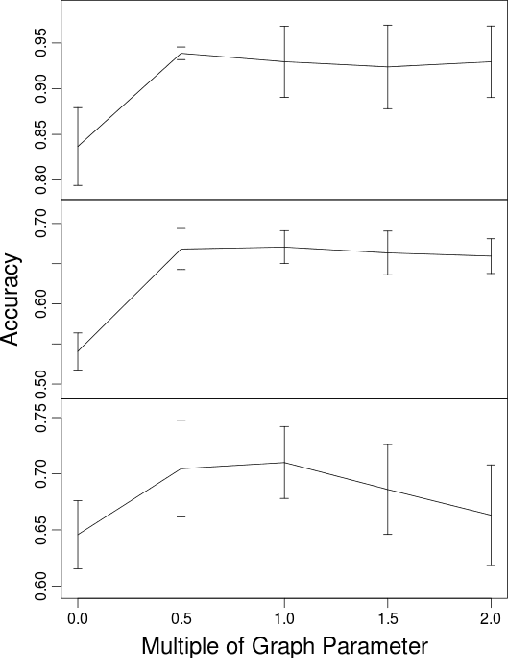
Nonnegative matrix factorization (NMF) methods have proved to be powerful across a wide range of real-world clustering applications. Integrating multiple types of measurements for the same objects/subjects allows us to gain a deeper understanding of the data and refine the clustering. We have developed a novel Graph-reguarized multiview NMF-based method for data integration called EquiNMF. The parameters for our method are set in a completely automated data-specific unsupervised fashion, a highly desirable property in real-world applications. We performed extensive and comprehensive experiments on multiview imaging data. We show that EquiNMF consistently outperforms other single-view NMF methods used on concatenated data and multi-view NMF methods with different types of regularizations.