



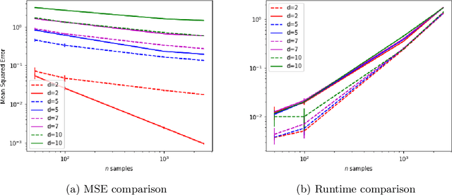
We develop a computationally tractable method for estimating the optimal map between two distributions over $\mathbb{R}^d$ with rigorous finite-sample guarantees. Leveraging an entropic version of Brenier's theorem, we show that our estimator -- the barycentric projection of the optimal entropic plan -- is easy to compute using Sinkhorn's algorithm. As a result, unlike current approaches for map estimation, which are slow to evaluate when the dimension or number of samples is large, our approach is parallelizable and extremely efficient even for massive data sets. Under smoothness assumptions on the optimal map, we show that our estimator enjoys comparable statistical performance to other estimators in the literature, but with much lower computational cost. We showcase the efficacy of our proposed estimator through numerical examples. Our proofs are based on a modified duality principle for entropic optimal transport and on a method for approximating optimal entropic plans due to Pal (2019).