



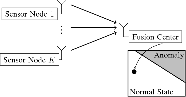
Anomaly detection has various applications including condition monitoring and fault diagnosis. The objective is to sense the environment, learn the normal system state, and then periodically classify whether the instantaneous state deviates from the normal one or not. A flexible and cost-effective way of monitoring a system state is to use a wireless sensor network. In the traditional approach, the sensors encode their observations and transmit them to a fusion center by means of some interference avoiding channel access method. The fusion center then decodes all the data and classifies the corresponding system state. As this approach can be highly inefficient in terms of energy consumption, in this paper we propose a transmission scheme that exploits interference for carrying out the anomaly detection directly in the air. In other words, the wireless channel helps the fusion center to retrieve the sought classification outcome immediately from the channel output. To achieve this, the chosen learning model is linear support vector machines. After discussing the proposed scheme and proving its reliability, we present numerical examples demonstrating that the scheme reduces the energy consumption for anomaly detection by up to 53% compared to a strategy that uses time division multiple-access.