



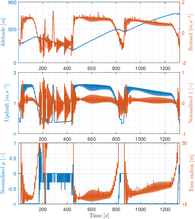
Autonomous unpowered flight is a challenge for control and guidance systems: all the energy the aircraft might use during flight has to be harvested directly from the atmosphere. We investigate the design of an algorithm that optimizes the closed-loop control of a glider's bank and sideslip angles, while flying in the lower convective layer of the atmosphere in order to increase its mission endurance. Using a Reinforcement Learning approach, we demonstrate the possibility for real-time adaptation of the glider's behaviour to the time-varying and noisy conditions associated with thermal soaring flight. Our approach is online, data-based and model-free, hence avoids the pitfalls of aerological and aircraft modelling and allow us to deal with uncertainties and non-stationarity. Additionally, we put a particular emphasis on keeping low computational requirements in order to make on-board execution feasible. This article presents the stochastic, time-dependent aerological model used for simulation, together with a standard aircraft model. Then we introduce an adaptation of a Q-learning algorithm and demonstrate its ability to control the aircraft and improve its endurance by exploiting updrafts in non-stationary scenarios.