



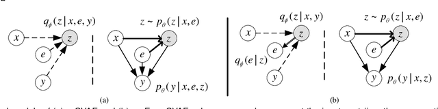
This paper presents an emotion-regularized conditional variational autoencoder (Emo-CVAE) model for generating emotional conversation responses. In conventional CVAE-based emotional response generation, emotion labels are simply used as additional conditions in prior, posterior and decoder networks. Considering that emotion styles are naturally entangled with semantic contents in the language space, the Emo-CVAE model utilizes emotion labels to regularize the CVAE latent space by introducing an extra emotion prediction network. In the training stage, the estimated latent variables are required to predict the emotion labels and token sequences of the input responses simultaneously. Experimental results show that our Emo-CVAE model can learn a more informative and structured latent space than a conventional CVAE model and output responses with better content and emotion performance than baseline CVAE and sequence-to-sequence (Seq2Seq) models.