



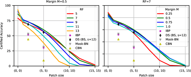
Adversarial patches pose a realistic threat model for physical world attacks on autonomous systems via their perception component. Autonomous systems in safety-critical domains such as automated driving should thus contain a fail-safe fallback component that combines certifiable robustness against patches with efficient inference while maintaining high performance on clean inputs. We propose BagCert, a novel combination of model architecture and certification procedure that allows efficient certification. We derive a loss that enables end-to-end optimization of certified robustness against patches of different sizes and locations. On CIFAR10, BagCert certifies 10.000 examples in 43 seconds on a single GPU and obtains 86% clean and 60% certified accuracy against 5x5 patches.