



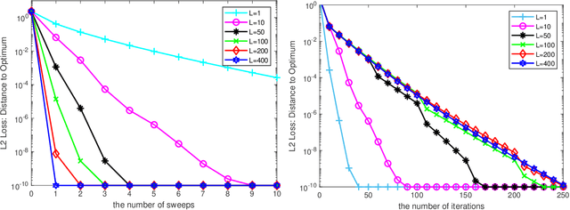
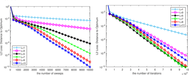
Deep neural networks have been used in various machine learning applications and achieved tremendous empirical successes. However, training deep neural networks is a challenging task. Many alternatives have been proposed in place of end-to-end back-propagation. Layer-wise training is one of them, which trains a single layer at a time, rather than trains the whole layers simultaneously. In this paper, we study a layer-wise training using a block coordinate gradient descent (BCGD) for deep linear networks. We establish a general convergence analysis of BCGD and found the optimal learning rate, which results in the fastest decrease in the loss. More importantly, the optimal learning rate can directly be applied in practice, as it does not require any prior knowledge. Thus, tuning the learning rate is not needed at all. Also, we identify the effects of depth, width, and initialization in the training process. We show that when the orthogonal-like initialization is employed, the width of intermediate layers plays no role in gradient-based training, as long as the width is greater than or equal to both the input and output dimensions. We show that under some conditions, the deeper the network is, the faster the convergence is guaranteed. This implies that in an extreme case, the global optimum is achieved after updating each weight matrix only once. Besides, we found that the use of deep networks could drastically accelerate convergence when it is compared to those of a depth 1 network, even when the computational cost is considered. Numerical examples are provided to justify our theoretical findings and demonstrate the performance of layer-wise training by BCGD.