



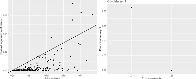
High-dimensional prediction considers data with more variables than samples. Generic research goals are to find the best predictor or to select variables. Results may be improved by exploiting prior information in the form of co-data, providing complementary data not on the samples, but on the variables. We consider adaptive ridge penalised generalised linear and Cox models, in which the variable specific ridge penalties are adapted to the co-data to give a priori more weight to more important variables. The R-package ecpc originally accommodated various and possibly multiple co-data sources, including categorical co-data, i.e. groups of variables, and continuous co-data. Continuous co-data, however, was handled by adaptive discretisation, potentially inefficiently modelling and losing information. Here, we present an extension to the method and software for generic co-data models, particularly for continuous co-data. At the basis lies a classical linear regression model, regressing prior variance weights on the co-data. Co-data variables are then estimated with empirical Bayes moment estimation. After placing the estimation procedure in the classical regression framework, extension to generalised additive and shape constrained co-data models is straightforward. Besides, we show how ridge penalties may be transformed to elastic net penalties with the R-package squeezy. In simulation studies we first compare various co-data models for continuous co-data from the extension to the original method. Secondly, we compare variable selection performance to other variable selection methods. Moreover, we demonstrate use of the package in several examples throughout the paper.