



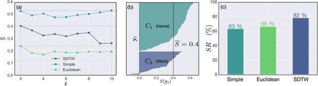
Socio-economic characteristics are influencing the temporal and spatial variability of water demand - the biggest source of uncertainties within water distribution system modeling. Improving our knowledge on these influences can be utilized to decrease demand uncertainties. This paper aims to link smart water meter data to socio-economic user characteristics by applying a novel clustering algorithm that uses dynamic time warping on daily demand patterns. The approach is tested on simulated and measured single family home datasets. We show that the novel algorithm performs better compared to commonly used clustering methods, both, in finding the right number of clusters as well as assigning patterns correctly. Additionally, the methodology can be used to identify outliers within clusters of demand patterns. Furthermore, this study investigates which socio-economic characteristics (e.g. employment status, number of residents) are prevalent within single clusters and, consequently, can be linked to the shape of the cluster's barycenters. In future, the proposed methods in combination with stochastic demand models can be used to fill data-gaps in hydraulic models.