



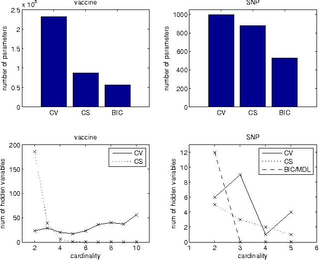
Computational methods for discovering patterns of local correlations in sequences are important in computational biology. Here we show how to determine the optimal partitioning of aligned sequences into non-overlapping segments such that positions in the same segment are strongly correlated while positions in different segments are not. Our approach involves discovering the hidden variables of a Bayesian network that interact with observed sequences so as to form a set of independent mixture models. We introduce a dynamic program to efficiently discover the optimal segmentation, or equivalently the optimal set of hidden variables. We evaluate our approach on two computational biology tasks. One task is related to the design of vaccines against polymorphic pathogens and the other task involves analysis of single nucleotide polymorphisms (SNPs) in human DNA. We show how common tasks in these problems naturally correspond to inference procedures in the learned models. Error rates of our learned models for the prediction of missing SNPs are up to 1/3 less than the error rates of a state-of-the-art SNP prediction method. Source code is available at www.uwm.edu/~joebock/segmentation.