



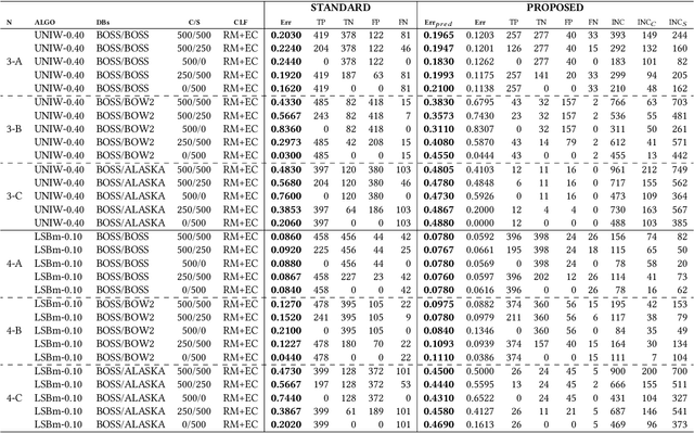
In this paper, a methodology to detect inconsistencies in classification-based image steganalysis is presented. The proposed approach uses two classifiers: the usual one, trained with a set formed by cover and stego images, and a second classifier trained with the set obtained after embedding additional random messages into the original training set. When the decisions of these two classifiers are not consistent, we know that the prediction is not reliable. The number of inconsistencies in the predictions of a testing set may indicate that the classifier is not performing correctly in the testing scenario. This occurs, for example, in case of cover source mismatch, or when we are trying to detect a steganographic method that the classifier is no capable of modelling accurately. We also show how the number of inconsistencies can be used to predict the reliability of the classifier (classification errors).