



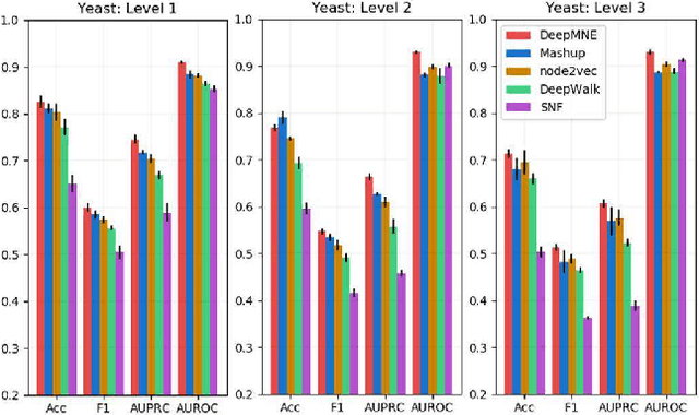
Networks are ubiquitous structure that describes complex relationships between different entities in the real world. As a critical component of prediction task over nodes in networks, learning the feature representation of nodes has become one of the most active areas recently. Network Embedding, aiming to learn non-linear and low-dimensional feature representation based on network topology, has been proved to be helpful on tasks of network analysis, especially node classification. For many real-world systems, multiple types of relations are naturally represented by multiple networks. However, existing network embedding methods mainly focus on single network embedding and neglect the information shared among different networks. In this paper, we propose a novel multiple network embedding method based on semisupervised autoencoder, named DeepMNE, which captures complex topological structures of multi-networks and takes the correlation among multi-networks into account. We evaluate DeepMNE on the task of node classification with two real-world datasets. The experimental results demonstrate the superior performance of our method over four state-of-the-art algorithms.