
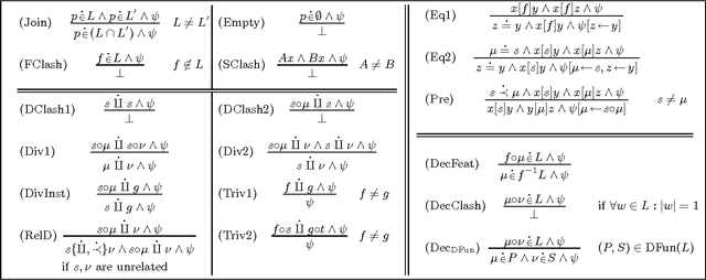
There have been two different methods for checking the satisfiability of feature descriptions that use the functional uncertainty device, namely~\cite{Kaplan:88CO} and \cite{Backofen:94JSC}. Although only the one in \cite{Backofen:94JSC} solves the satisfiability problem completely, both methods have their merits. But it may happen that in one single description, there are parts where the first method is more appropriate, and other parts where the second should be applied. In this paper, we present a common framework that allows one to combine both methods. This is done by presenting a set of rules for simplifying feature descriptions. The different methods are described as different controls on this rule set, where a control specifies in which order the different rules must be applied.