



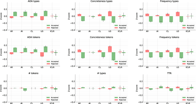
We analysed a recently released dataset of scientific manuscripts that were either rejected or accepted from various conferences in artificial intelligence. We used a combination of semantic, lexical and psycholinguistic analyses of the full text of the manuscripts to compare them based on the outcome of the peer review process. We found that accepted manuscripts were written with words that are less frequent, that are acquired at an older age, and that are more abstract than rejected manuscripts. We also found that accepted manuscripts scored lower on two indicators of readability than rejected manuscripts, and that they also used more artificial intelligence jargon. An analysis of the references included in the manuscripts revealed that the subset of accepted submissions were more likely to cite the same publications. This finding was echoed by pairwise comparisons of the word content of the manuscripts (i.e. an indicator or semantic similarity), which was higher in the accepted manuscripts. Finally, we predicted the peer review outcome of manuscripts with their word content, with words related to machine learning and neural networks positively related with acceptance, whereas words related to logic, symbolic processing and knowledge-based systems negatively related with acceptance.