



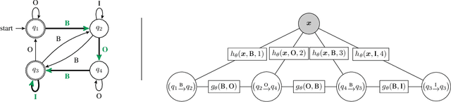
In structured prediction, a major challenge for models is to represent the interdependencies within their output structures. For the common case where outputs are structured as a sequence, linear-chain conditional random fields (CRFs) are a widely used model class which can learn local dependencies in output sequences. However, the CRF's Markov assumption makes it impossible for these models to capture nonlocal dependencies, and standard CRFs are unable to respect nonlocal constraints of the data (such as global arity constraints on output labels). We present a generalization of CRFs that can enforce a broad class of constraints, including nonlocal ones, by specifying the space of possible output structures as a regular language $\mathcal{L}$. The resulting regular-constrained CRF (RegCCRF) has the same formal properties as a standard CRF, but assigns zero probability to all label sequences not in $\mathcal{L}$. Notably, RegCCRFs can incorporate their constraints during training, while related models only enforce constraints during decoding. We prove that constrained training is never worse than constrained decoding, and show using synthetic data that it can be substantially better in practice. Additionally, we demonstrate a practical benefit on downstream tasks by incorporating a RegCCRF into a deep neural model for semantic role labeling, exceeding state-of-the-art results on a standard dataset.