



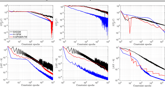
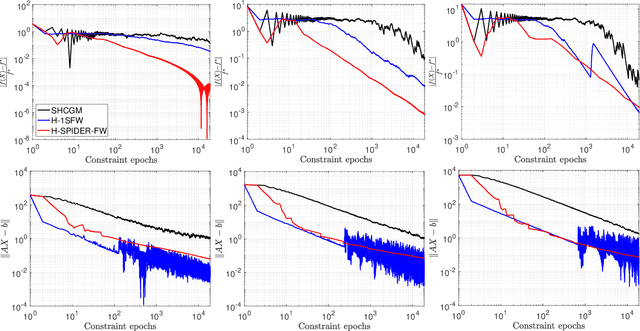
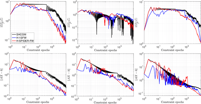
We propose two novel conditional gradient-based methods for solving structured stochastic convex optimization problems with a large number of linear constraints. Instances of this template naturally arise from SDP-relaxations of combinatorial problems, which involve a number of constraints that is polynomial in the problem dimension. The most important feature of our framework is that only a subset of the constraints is processed at each iteration, thus gaining a computational advantage over prior works that require full passes. Our algorithms rely on variance reduction and smoothing used in conjunction with conditional gradient steps, and are accompanied by rigorous convergence guarantees. Preliminary numerical experiments are provided for illustrating the practical performance of the methods.