



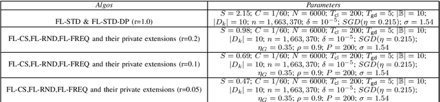
Federated Learning allows distributed entities to train a common model collaboratively without sharing their own data. Although it prevents data collection and aggregation by exchanging only parameter updates, it remains vulnerable to various inference and reconstruction attacks where a malicious entity can learn private information about the participants' training data from the captured gradients. Differential Privacy is used to obtain theoretically sound privacy guarantees against such inference attacks by noising the exchanged update vectors. However, the added noise is proportional to the model size which can be very large with modern neural networks. This can result in poor model quality. In this paper, compressive sensing is used to reduce the model size and hence increase model quality without sacrificing privacy. We show experimentally, using 2 datasets, that our privacy-preserving proposal can reduce the communication costs by up to 95% with only a negligible performance penalty compared to traditional non-private federated learning schemes.