



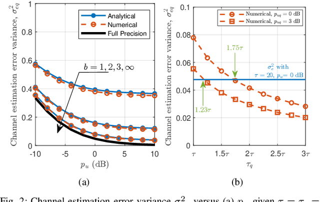
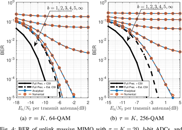
Low-resolution quantization is essential to reduce implementation cost and power consumption in massive multiple-input multiple-output (MIMO) systems for 5G and 6G. While most existing studies assume perfect channel state information (CSI), we model the impact of coarse quantization noise on both channel estimation and data transmission, yielding a more realistic assessment of system performance under imperfect CSI conditions in the uplink. We develop a tight approximation for the bit-error ratio (BER) of uncoded M-QAM with zero-forcing detection, based on the linear minimum mean-square error (LMMSE) channel estimate. These analytical results enable compensation strategies that jointly optimize quantization resolution, transmit power, and pilot length across different numbers of users and base station antennas. We further demonstrate the applicability of the proposed framework through several design scenarios that highlight its effectiveness in optimizing system parameters and improving energy efficiency under quantization constraints. For example, in a 16-QAM system, extending the pilot sequence by 2.5 times and lowering transmit power by 0.5 dB enables a 3-bit quantized system to match the BER of the full-resolution case. The proposed framework offers a fast and accurate alternative to Monte Carlo simulations, enabling practical system optimization under realistic quantization constraints.