



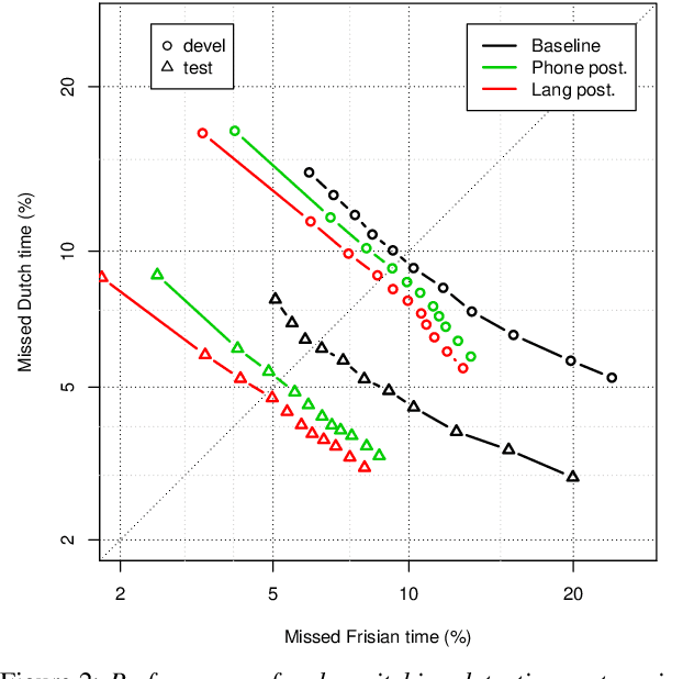
Code-switching (CS) detection refers to the automatic detection of language switches in code-mixed utterances. This task can be achieved by using a CS automatic speech recognition (ASR) system that can handle such language switches. In our previous work, we have investigated the code-switching detection performance of the Frisian-Dutch CS ASR system by using the time alignment of the most likely hypothesis and found that this technique suffers from over-switching due to numerous very short spurious language switches. In this paper, we propose a novel method for CS detection aiming to remedy this shortcoming by using the language posteriors which are the sum of the frame-level posteriors of phones belonging to the same language. The CS ASR-generated language posteriors contain more complete language-specific information on frame level compared to the time alignment of the ASR output. Hence, it is expected to yield more accurate and robust CS detection. The CS detection experiments demonstrate that the proposed language posterior-based approach provides higher detection accuracy than the baseline system in terms of equal error rate. Moreover, a detailed CS detection error analysis reveals that using language posteriors reduces the false alarms and results in more robust CS detection.