



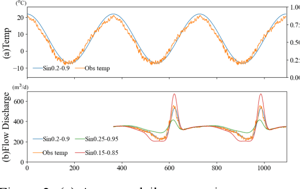
This study investigates the relationships which deep learning methods can identify between the input and output data. As a case study, rainfall-runoff modeling in a snow-dominated watershed by means of a long- and short-term memory (LSTM) network is selected. Daily precipitation and mean air temperature were used as model input to estimate daily flow discharge. After model training and verification, two experimental simulations were conducted with hypothetical inputs instead of observed meteorological data to clarify the response of the trained model to the inputs. The first numerical experiment showed that even without input precipitation, the trained model generated flow discharge, particularly winter low flow and high flow during the snow-melting period. The effects of warmer and colder conditions on the flow discharge were also replicated by the trained model without precipitation. Additionally, the model reflected only 17-39% of the total precipitation mass during the snow accumulation period in the total annual flow discharge, revealing a strong lack of water mass conservation. The results of this study indicated that a deep learning method may not properly learn the explicit physical relationships between input and target variables, although they are still capable of maintaining strong goodness-of-fit results.