



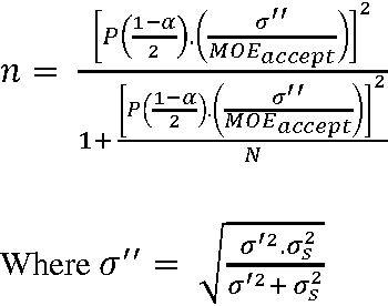
Sample size determination for a data set is an important statistical process for analyzing the data to an optimum level of accuracy and using minimum computational work. The applications of this process are credible in every domain which deals with large data sets and high computational work. This study uses Bayesian analysis for determination of minimum sample size of vibration signals to be considered for fault diagnosis of a bearing using pre-defined parameters such as the inverse standard probability and the acceptable margin of error. Thus an analytical formula for sample size determination is introduced. The fault diagnosis of the bearing is done using a machine learning approach using an entropy-based J48 algorithm. The following method will help researchers involved in fault diagnosis to determine minimum sample size of data for analysis for a good statistical stability and precision.