



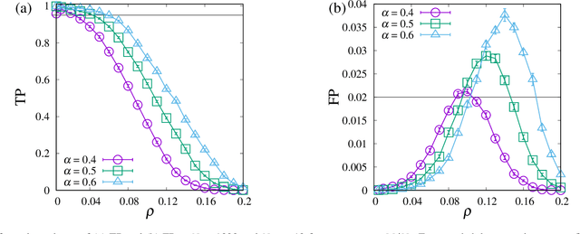
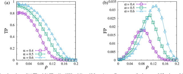
Group testing is a method of identifying infected patients by performing tests on a pool of specimens collected from patients. For the case in which the test returns a false result with finite probability, we propose Bayesian inference and a corresponding belief propagation (BP) algorithm to identify the infected patients from the results of tests performed on the pool. We show that the true-positive rate is improved by taking into account the credible interval of a point estimate of each patient. Further, the prevalence and the error probability in the test are estimated by combining an expectation-maximization method with the BP algorithm. As another approach, we introduce a hierarchical Bayes model to identify the infected patients and estimate the prevalence. By comparing these methods, we formulate a guide for practical usage.