



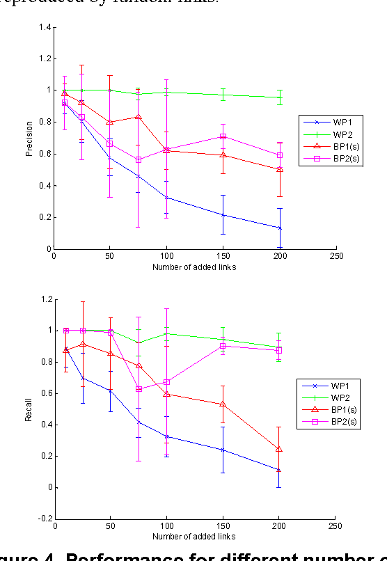
There has been a lot of recent interest in mining patterns from graphs. Often, the exact structure of the patterns of interest is not known. This happens, for example, when molecular structures are mined to discover fragments useful as features in chemical compound classification task, or when web sites are mined to discover sets of web pages representing logical documents. Such patterns are often generated from a few small subgraphs (cores), according to certain generalization rules (GRs). We call such patterns "generalized patterns"(GPs). While being structurally different, GPs often perform the same function in the network. Previously proposed approaches to mining GPs either assumed that the cores and the GRs are given, or that all interesting GPs are frequent. These are strong assumptions, which often do not hold in practical applications. In this paper, we propose an approach to mining GPs that is free from the above assumptions. Given a small number of GPs selected by the user, our algorithm discovers all GPs similar to the user examples. First, a machine learning-style approach is used to find the cores. Second, generalizations of the cores in the graph are computed to identify GPs. Evaluation on synthetic data, generated using real cores and GRs from biological and web domains, demonstrates effectiveness of our approach.