



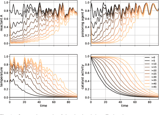
We propose a grid-like computational model of tubular reactors. The architecture is inspired by the computations performed by solvers of partial differential equations which describe the dynamics of the chemical process inside a tubular reactor. The proposed model may be entirely based on the known form of the partial differential equations or it may contain generic machine learning components such as multi-layer perceptrons. We show that the proposed model can be trained using limited amounts of data to describe the state of a fixed-bed catalytic reactor. The trained model can reconstruct unmeasured states such as the catalyst activity using the measurements of inlet concentrations and temperatures along the reactor.