



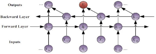
Several text classification tasks such as sentiment analysis, news categorization, multi-label classification and opinion classification are challenging problems even for modern deep learning networks. Recently, Capsule Networks (CapsNets) are proposed for image classification. It has been shown that CapsNets have several advantages over Convolutional Neural Networks (CNNs), while their validity in the domain of text has been less explored. In this paper, we propose a novel hybrid architecture viz., BGCapsule, which is a Capsule model preceded by an ensemble of Bidirectional Gated Recurrent Units (BiGRU) for several text classification tasks. We employed an ensemble of Bidirectional GRUs for feature extraction layer preceding the primary capsule layer. The hybrid architecture, after performing basic pre-processing steps, consists of five layers: an embedding layer based on GloVe, a BiGRU based ensemble layer, a primary capsule layer, a flatten layer and fully connected ReLU layer followed by a fully connected softmax layer. In order to evaluate the effectiveness of BGCapsule, we conducted extensive experiments on five benchmark datasets (ranging from 10,000 records to 700,000 records) including Movie Review (MR Imdb 2005), AG News dataset, Dbpedia ontology dataset, Yelp Review Full dataset and Yelp review polarity dataset. These benchmarks cover several text classification tasks such as news categorization, sentiment analysis, multiclass classification, multi-label classification and opinion classification. We found that our proposed architecture (BGCapsule) achieves better accuracy compared to the existing methods without the help of any external linguistic knowledge such as positive sentiment keywords and negative sentiment keywords. Further, BGCapsule converged faster compared to other extant techniques.