


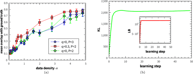
Unsupervised learning requiring only raw data is not only a fundamental function of the cerebral cortex, but also a foundation for a next generation of artificial neural networks. However, a unified theoretical framework to treat sensory inputs, synapses and neural activity together is still lacking. The computational obstacle originates from the discrete nature of synapses, and complex interactions among these three essential elements of learning. Here, we propose a variational mean-field theory in which only the distribution of synaptic weight is considered. The unsupervised learning can then be decomposed into two interwoven steps: a maximization step is carried out as a gradient ascent of the lower-bound on the data log-likelihood, and an expectation step is carried out as a message passing procedure on an equivalent or dual neural network whose parameter is specified by the variational parameter of the weight distribution. Therefore, our framework explains how data (or sensory inputs), synapses and neural activities interact with each other to achieve the goal of extracting statistical regularities in sensory inputs. This variational framework is verified in restricted Boltzmann machines with planted synaptic weights and learning handwritten digits.