



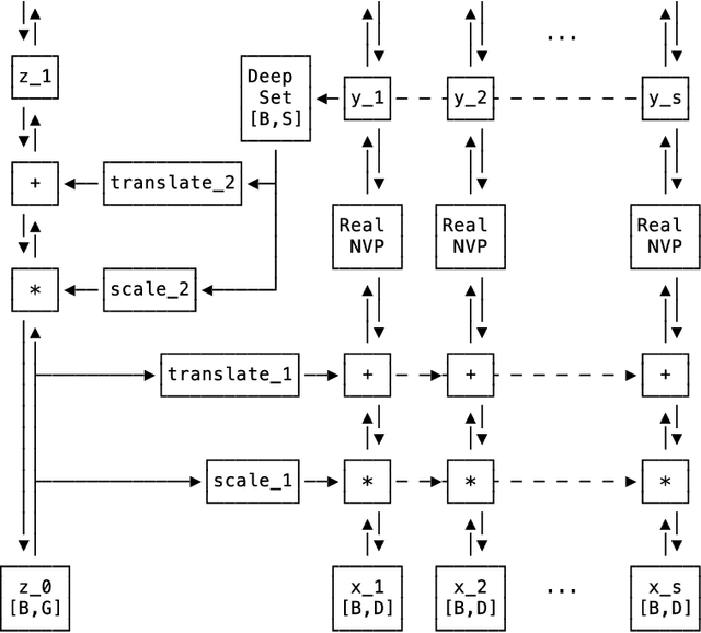
We present a generative model that is defined on finite sets of exchangeable, potentially high dimensional, data. As the architecture is an extension of RealNVPs, it inherits all its favorable properties, such as being invertible and allowing for exact log-likelihood evaluation. We show that this architecture is able to learn finite non-i.i.d. set data distributions, learn statistical dependencies between entities of the set and is able to train and sample with variable set sizes in a computationally efficient manner. Experiments on 3D point clouds show state-of-the art likelihoods.