



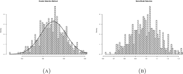
Boosting algorithms are very popular in Machine Learning and have proven very useful for prediction and variable selection. Nevertheless in many applications the researcher is interested in inference on treatment effects or policy variables in a high-dimensional setting. Empirical researchers are more and more faced with rich datasets containing very many controls or instrumental variables, where variable selection is challenging. In this paper we give results for the valid inference of a treatment effect after selecting from among very many control variables and the estimation of instrumental variables with potentially very many instruments when post- or orthogonal $L_2$-Boosting is used for the variable selection. This setting allows for valid inference on low-dimensional components in a regression estimated with $L_2$-Boosting. We give simulation results for the proposed methods and an empirical application, in which we analyze the effectiveness of a pulmonary artery catheter.