



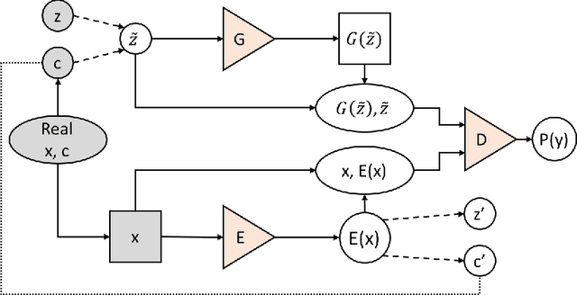
Conditional Generative Adversarial Networks (cGANs) are generative models that can produce data samples ($x$) conditioned on both latent variables ($z$) and known auxiliary information ($c$). We propose the Bidirectional cGAN (BiCoGAN), which effectively disentangles $z$ and $c$ in the generation process and provides an encoder that learns inverse mappings from $x$ to both $z$ and $c$, trained jointly with the generator and the discriminator. We present crucial techniques for training BiCoGANs, which involve an extrinsic factor loss along with an associated dynamically-tuned importance weight. As compared to other encoder-based cGANs, BiCoGANs encode $c$ more accurately, and utilize $z$ and $c$ more effectively and in a more disentangled way to generate samples.