



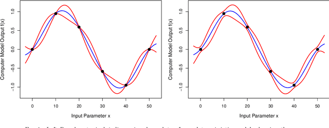
We harness the power of Bayesian emulation techniques, designed to aid the analysis of complex computer models, to examine the structure of complex Bayesian analyses themselves. These techniques facilitate robust Bayesian analyses and/or sensitivity analyses of complex problems, and hence allow global exploration of the impacts of choices made in both the likelihood and prior specification. We show how previously intractable problems in robustness studies can be overcome using emulation techniques, and how these methods allow other scientists to quickly extract approximations to posterior results corresponding to their own particular subjective specification. The utility and flexibility of our method is demonstrated on a reanalysis of a real application where Bayesian methods were employed to capture beliefs about river flow. We discuss the obvious extensions and directions of future research that such an approach opens up.