



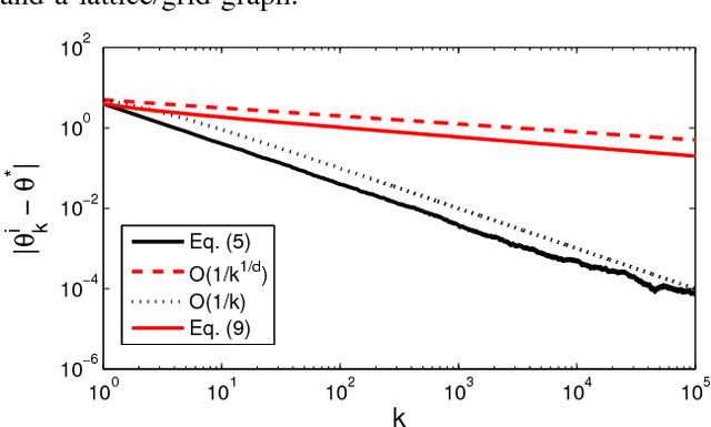
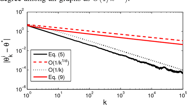
We present a distributed (non-Bayesian) learning algorithm for the problem of parameter estimation with Gaussian noise. The algorithm is expressed as explicit updates on the parameters of the Gaussian beliefs (i.e. means and precision). We show a convergence rate of $O(1/k)$ with the constant term depending on the number of agents and the topology of the network. Moreover, we show almost sure convergence to the optimal solution of the estimation problem for the general case of time-varying directed graphs.