



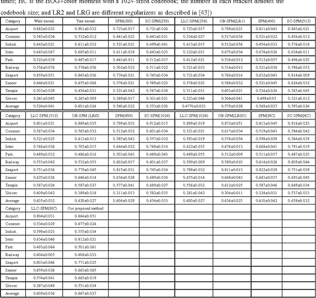
Aerial image categorization plays an indispensable role in remote sensing and artificial intelligence. In this paper, we propose a new aerial image categorization framework, focusing on organizing the local patches of each aerial image into multiple discriminative subgraphs. The subgraphs reflect both the geometric property and the color distribution of an aerial image. First, each aerial image is decomposed into a collection of regions in terms of their color intensities. Thereby region connected graph (RCG), which models the connection between the spatial neighboring regions, is constructed to encode the spatial context of an aerial image. Second, a subgraph mining technique is adopted to discover the frequent structures in the RCGs constructed from the training aerial images. Thereafter, a set of refined structures are selected among the frequent ones toward being highly discriminative and low redundant. Lastly, given a new aerial image, its sub-RCGs corresponding to the refined structures are extracted. They are further quantized into a discriminative vector for SVM classification. Thorough experimental results validate the effectiveness of the proposed method. In addition, the visualized mined subgraphs show that the discriminative topologies of each aerial image are discovered.