



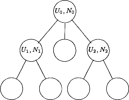
We present an approach to model-based hierarchical clustering by formulating an objective function based on a Bayesian analysis. This model organizes the data into a cluster hierarchy while specifying a complex feature-set partitioning that is a key component of our model. Features can have either a unique distribution in every cluster or a common distribution over some (or even all) of the clusters. The cluster subsets over which these features have such a common distribution correspond to the nodes (clusters) of the tree representing the hierarchy. We apply this general model to the problem of document clustering for which we use a multinomial likelihood function and Dirichlet priors. Our algorithm consists of a two-stage process wherein we first perform a flat clustering followed by a modified hierarchical agglomerative merging process that includes determining the features that will have common distributions over the merged clusters. The regularization induced by using the marginal likelihood automatically determines the optimal model structure including number of clusters, the depth of the tree and the subset of features to be modeled as having a common distribution at each node. We present experimental results on both synthetic data and a real document collection.