



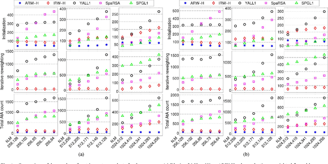
To recover a sparse signal from an underdetermined system, we often solve a constrained L1-norm minimization problem. In many cases, the signal sparsity and the recovery performance can be further improved by replacing the L1 norm with a "weighted" L1 norm. Without any prior information about nonzero elements of the signal, the procedure for selecting weights is iterative in nature. Common approaches update the weights at every iteration using the solution of a weighted L1 problem from the previous iteration. In this paper, we present two homotopy-based algorithms that efficiently solve reweighted L1 problems. First, we present an algorithm that quickly updates the solution of a weighted L1 problem as the weights change. Since the solution changes only slightly with small changes in the weights, we develop a homotopy algorithm that replaces the old weights with the new ones in a small number of computationally inexpensive steps. Second, we propose an algorithm that solves a weighted L1 problem by adaptively selecting the weights while estimating the signal. This algorithm integrates the reweighting into every step along the homotopy path by changing the weights according to the changes in the solution and its support, allowing us to achieve a high quality signal reconstruction by solving a single homotopy problem. We compare the performance of both algorithms, in terms of reconstruction accuracy and computational complexity, against state-of-the-art solvers and show that our methods have smaller computational cost. In addition, we will show that the adaptive selection of the weights inside the homotopy often yields reconstructions of higher quality.