

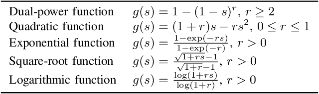
We propose approximate gradient ascent algorithms for risk-sensitive reinforcement learning control problem in on-policy as well as off-policy settings. We consider episodic Markov decision processes, and model the risk using distortion risk measure (DRM) of the cumulative discounted reward. Our algorithms estimate the DRM using order statistics of the cumulative rewards, and calculate approximate gradients from the DRM estimates using a smoothed functional-based gradient estimation scheme. We derive non-asymptotic bounds that establish the convergence of our proposed algorithms to an approximate stationary point of the DRM objective.