



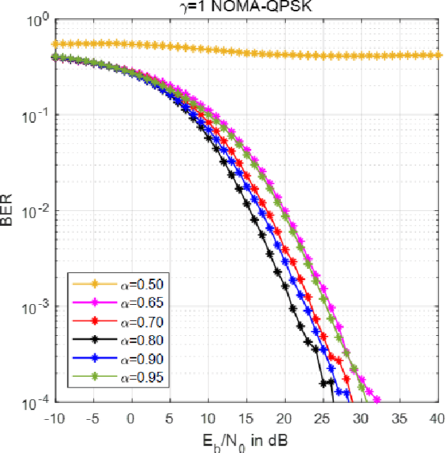
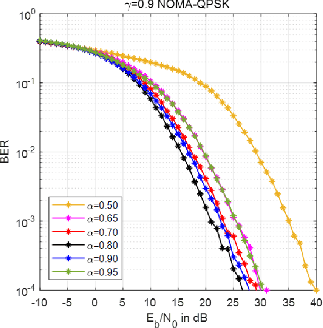
This paper analyzes the power imbalance issue in power-domain NOMA (PD-NOMA) in the presence of channel correlations, typically encountered on the downlink of cellular systems when the base station antennas have an insufficient separation. In a recent paper, the authors analyzed this issue for a typical uplink scenario with uncorrelated channels, and the study revealed an astounding result that the optimum in terms of average error probability is achieved when the user signals are perfectly balanced in terms of power as in multi-user MIMO with power control. This result led to some questioning of the concept of PD-NOMA for uncorrelated Rayleigh fading channels. In the present paper, we make a similar analysis for the downlink, and the study gives a very clear insight into the influence of the power imbalance at different levels of channel correlation. First, with full correlation (user signals transmitted from the same antenna), the PD-NOMA concept reduces to simple signal constellation design. The optimum is achieved when the power imbalance between the user signals is such that the resulting constellation has uniform spacing. Any deviation from this optimum will lead to a hierarchical constellation with performance loss. Also, this optimum power imbalance is shown to hold for a range of strong channel correlations, but for moderate and low correlation values perfectly power balanced NOMA takes over as in the presence of uncorrelated channels.