



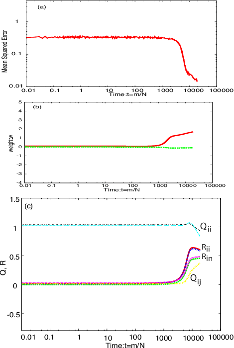
Deep learning is the state-of-the-art in fields such as visual object recognition and speech recognition. This learning uses a large number of layers and a huge number of units and connections. Therefore, overfitting is a serious problem with it, and the dropout which is a kind of regularization tool is used. However, in online learning, the effect of dropout is not well known. This paper presents our investigation on the effect of dropout in online learning. We analyzed the effect of dropout on convergence speed near the singular point. Our results indicated that dropout is effective in online learning. Dropout tends to avoid the singular point for convergence speed near that point.