



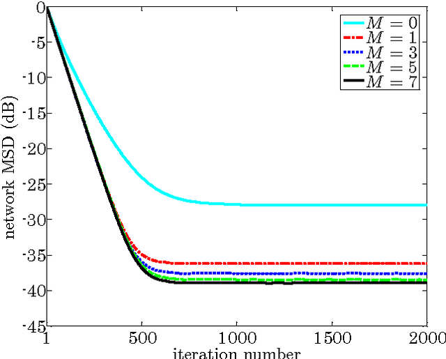
In diffusion-based algorithms for adaptive distributed estimation, each node of an adaptive network estimates a target parameter vector by creating an intermediate estimate and then combining the intermediate estimates available within its closed neighborhood. We analyze the performance of a reduced-communication diffusion least mean-square (RC-DLMS) algorithm, which allows each node to receive the intermediate estimates of only a subset of its neighbors at each iteration. This algorithm eases the usage of network communication resources and delivers a trade-off between estimation performance and communication cost. We show analytically that the RC-DLMS algorithm is stable and convergent in both mean and mean-square senses. We also calculate its theoretical steady-state mean-square deviation. Simulation results demonstrate a good match between theory and experiment.