



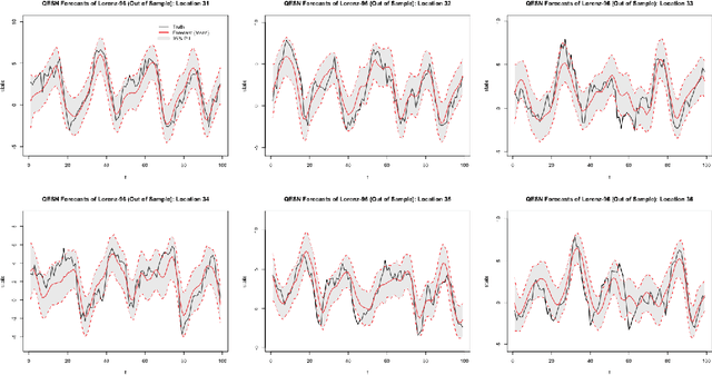
Spatio-temporal data and processes are prevalent across a wide variety of scientific disciplines. These processes are often characterized by nonlinear time dynamics that include interactions across multiple scales of spatial and temporal variability. The data sets associated with many of these processes are increasing in size due to advances in automated data measurement, management, and numerical simulator output. Non- linear spatio-temporal models have only recently seen interest in statistics, but there are many classes of such models in the engineering and geophysical sciences. Tradi- tionally, these models are more heuristic than those that have been presented in the statistics literature, but are often intuitive and quite efficient computationally. We show here that with fairly simple, but important, enhancements, the echo state net- work (ESN) machine learning approach can be used to generate long-lead forecasts of nonlinear spatio-temporal processes, with reasonable uncertainty quantification, and at only a fraction of the computational expense of a traditional parametric nonlinear spatio-temporal models.