



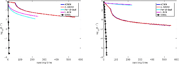
Variable selection is one of the most important tasks in statistics and machine learning. To incorporate more prior information about the regression coefficients, the constrained Lasso model has been proposed in the literature. In this paper, we present an inexact augmented Lagrangian method to solve the Lasso problem with linear equality constraints. By fully exploiting second-order sparsity of the problem, we are able to greatly reduce the computational cost and obtain highly efficient implementations. Furthermore, numerical results on both synthetic data and real data show that our algorithm is superior to existing first-order methods in terms of both running time and solution accuracy.