



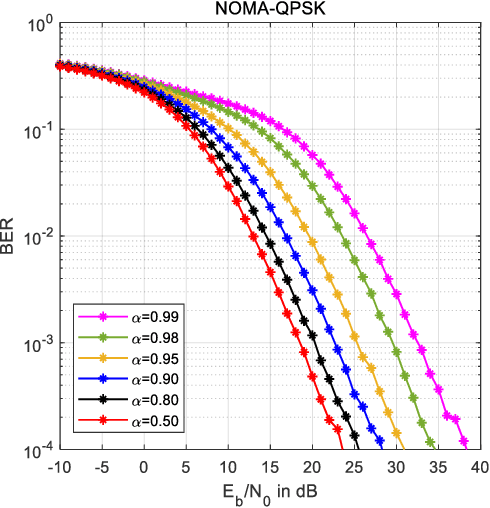
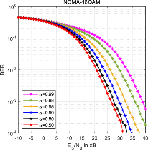
This paper analyzes the power imbalance factor on the uplink of a 2-user Power-domain NOMA system and reveals that the minimum value of the average error probability is achieved when the user signals are perfectly balanced in terms of power as in Multi-User MIMO with power control. The analytic result is obtained by analyzing the pairwise error probability and exploiting a symmetry property of the error events. This result is supported by computer simulations using the QPSK and 16QAM signal formats and uncorrelated Rayleigh fading channels. This finding leads to the questioning of the basic philosophy of Power-domain NOMA and suggests that the best strategy for uncorrelated channels is to perfectly balance the average signal powers received from the users and to use a maximum likelihood receiver for their detection.