



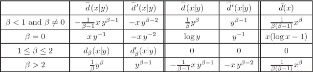
This paper describes algorithms for nonnegative matrix factorization (NMF) with the beta-divergence (beta-NMF). The beta-divergence is a family of cost functions parametrized by a single shape parameter beta that takes the Euclidean distance, the Kullback-Leibler divergence and the Itakura-Saito divergence as special cases (beta = 2,1,0, respectively). The proposed algorithms are based on a surrogate auxiliary function (a local majorization of the criterion function). We first describe a majorization-minimization (MM) algorithm that leads to multiplicative updates, which differ from standard heuristic multiplicative updates by a beta-dependent power exponent. The monotonicity of the heuristic algorithm can however be proven for beta in (0,1) using the proposed auxiliary function. Then we introduce the concept of majorization-equalization (ME) algorithm which produces updates that move along constant level sets of the auxiliary function and lead to larger steps than MM. Simulations on synthetic and real data illustrate the faster convergence of the ME approach. The paper also describes how the proposed algorithms can be adapted to two common variants of NMF : penalized NMF (i.e., when a penalty function of the factors is added to the criterion function) and convex-NMF (when the dictionary is assumed to belong to a known subspace).