
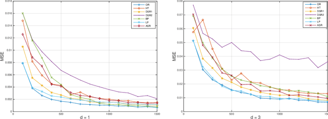
In this paper, we propose an adaptive stopping rule for kernel-based gradient descent (KGD) algorithms. We introduce the empirical effective dimension to quantify the increments of iterations in KGD and derive an implementable early stopping strategy. We analyze the performance of the adaptive stopping rule in the framework of learning theory. Using the recently developed integral operator approach, we rigorously prove the optimality of the adaptive stopping rule in terms of showing the optimal learning rates for KGD equipped with this rule. Furthermore, a sharp bound on the number of iterations in KGD equipped with the proposed early stopping rule is also given to demonstrate its computational advantage.