



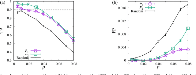
In identifying infected patients in a population, group testing is an effective method to reduce the number of tests and correct the test errors. In the group testing procedure, tests are performed on pools of specimens collected from patients, where the number of pools is lower than that of patients. The performance of group testing heavily depends on the design of pools and algorithms that are used in inferring the infected patients from the test outcomes. In this paper, an adaptive design method of pools based on the predictive distribution is proposed in the framework of Bayesian inference. The proposed method executed using the belief propagation algorithm results in more accurate identification of the infected patients, as compared to the group testing performed on random pools determined in advance.