



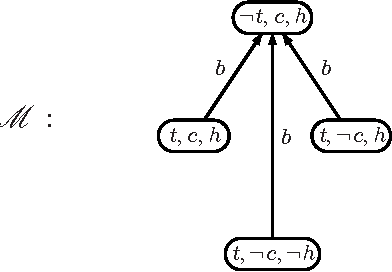
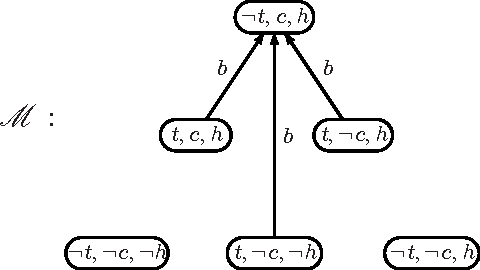
Like any other logical theory, domain descriptions in reasoning about actions may evolve, and thus need revision methods to adequately accommodate new information about the behavior of actions. The present work is about changing action domain descriptions in propositional dynamic logic. Its contribution is threefold: first we revisit the semantics of action theory contraction that has been done in previous work, giving more robust operators that express minimal change based on a notion of distance between Kripke-models. Second we give algorithms for syntactical action theory contraction and establish their correctness w.r.t. our semantics. Finally we state postulates for action theory contraction and assess the behavior of our operators w.r.t. them. Moreover, we also address the revision counterpart of action theory change, showing that it benefits from our semantics for contraction.