



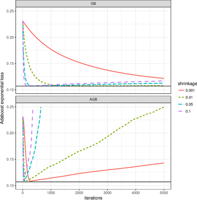
Gradient tree boosting is a prediction algorithm that sequentially produces a model in the form of linear combinations of decision trees, by solving an infinite-dimensional optimization problem. We combine gradient boosting and Nesterov's accelerated descent to design a new algorithm, which we call AGB (for Accelerated Gradient Boosting). Substantial numerical evidence is provided on both synthetic and real-life data sets to assess the excellent performance of the method in a large variety of prediction problems. It is empirically shown that AGB is much less sensitive to the shrinkage parameter and outputs predictors that are considerably more sparse in the number of trees, while retaining the exceptional performance of gradient boosting.